📖 目录
← 9.3 重积分应用
积分学复习题集
📖 笔记p28-30, p39, p41
习题文件3(积分计算综合练习)
这些习题页建议自己动手做
,对照学姐的解答过程检查。重点关注:
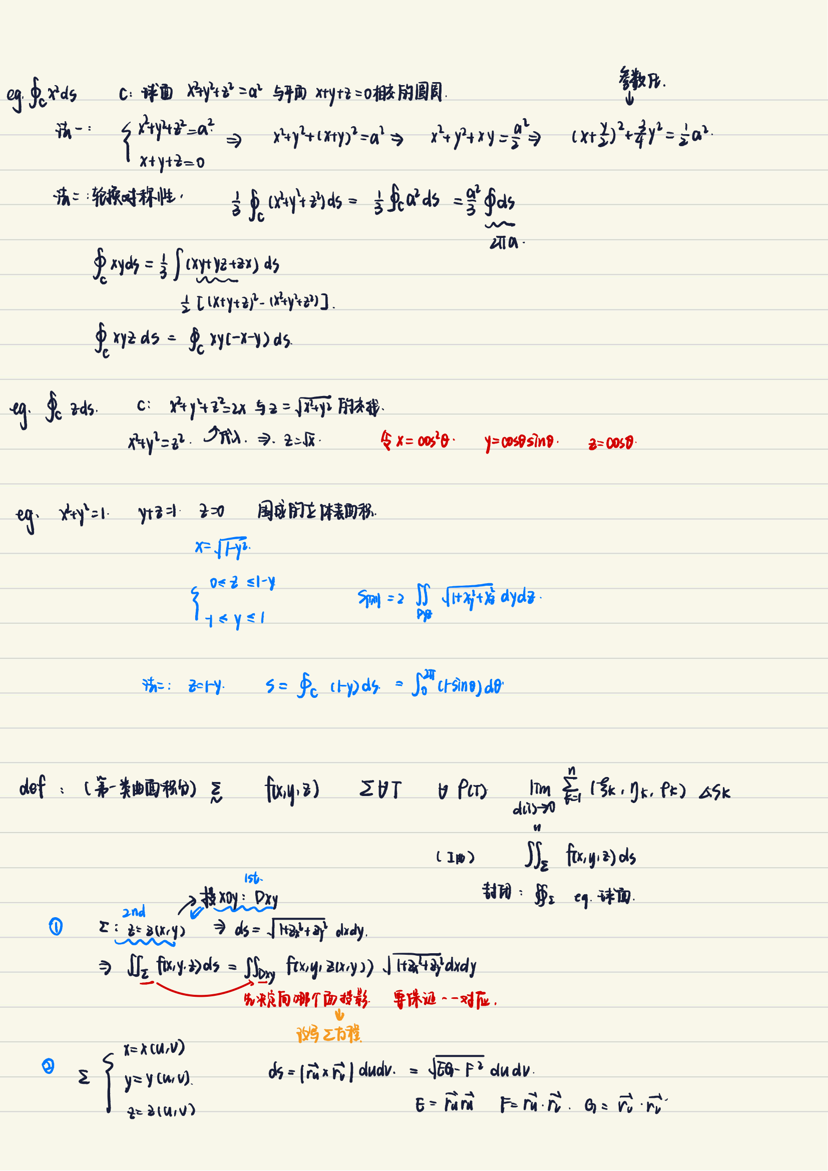
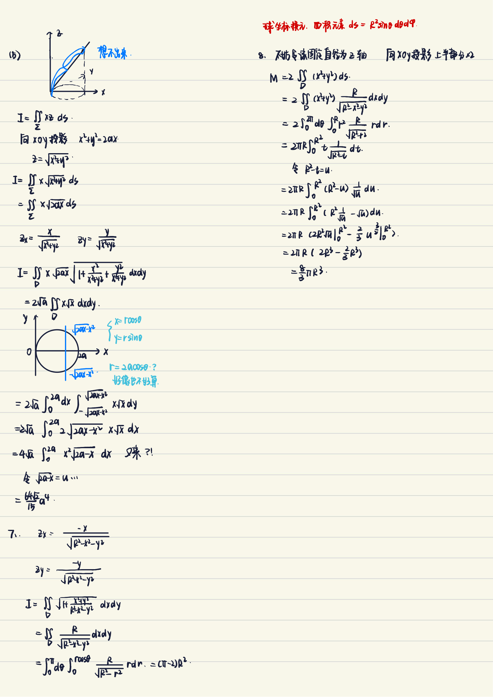
① 交换积分次序时
画图
的过程
② 极坐标/柱坐标/球坐标的选择判断
③ 利用对称性化简的技巧
④ 曲面面积公式 $\sqrt{1+z_x^2+z_y^2}$ 的计算
📖 目录
← 9.3 重积分应用